DELI on sulfobutüül-beeta-tsüklodekstriini 182410-00-0 tootja. Meie toote DMF number on 034773. Ettevõtte juhtimissüsteem on läbinud ISO 9001:2015 sertifikaadi.

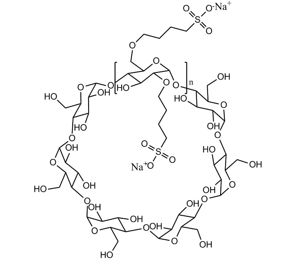
Sulfobutüül-beeta-tsüklodekstriin 182410-00-0 on kõrge puhtusastmega anioonne tsüklodekstriini derivaat, millel on suurepärane vees lahustuvus. Keemiliselt modifitseeritud beeta-tsüklodekstriinina kasutatakse sulfobutüül-beeta-tsüklodekstriini 182410-00-0 laialdaselt farmatseutilise abiainena, et parandada halvasti lahustuvate toimeainete koostist.
Sulfobutüül-beeta-tsüklodekstriin 182410-00-0 moodustab ravimimolekulidega, eriti lämmastikku sisaldavate ühenditega, stabiilseid mittekovalentseid inklusioonkomplekse. Molekulaarse kapseldamise kaudu suurendab sulfobutüül-beetatsüklodekstriin 182410-00-0 märkimisväärselt ravimi lahustuvust, stabiilsust ja biosaadavust, parandades samal ajal preparaadi ohutust.
Farmaatsiarakendustes aitab sulfobutüül-beetatsüklodekstriin 182410-00-0 vähendada neerutoksilisust, minimeerida hemolüüsi, kontrollida ravimite vabanemise kiirust ja varjata ebameeldivaid lõhnu. Need eelised muudavad sulfobutüül-beeta-tsüklodekstriini 182410-00-0 eriti sobivaks tundlike ravimvormide jaoks.
Sulfobutüül-beeta-tsüklodekstriin 182410-00-0 toimib tõhusalt solubilisaatorina, märgava ainena, kelaativa ainena (kompleksimoodustajana) ja polüvalentse maskeeriva ainena. Tänu suurepärasele biosobivusele ja ohutusprofiilile kasutatakse sulfobutüül-beetatsüklodekstriini 182410-00-0 laialdaselt süstitavates, suukaudsetes, nasaalsetes ja oftalmoloogilistes ravimvormides.
Olulise beetatsüklodekstriinist saadud modifitseeritud tootena arendab ja toodab sulfobutüülbeetatsüklodekstriin 182410-00-0 sõltumatult meie ettevõte. Sulfobutüül-beeta-tsüklodekstriini 182410-00-0 kasutatakse peamiselt farmatseutilise abiainena lämmastikku sisaldavates ravimpreparaatides ja täiustatud süstitavates preparaatides.

Xi'an Deli Biochemical Industry Co., Ltd. on professionaalne tootja, kes on spetsialiseerunud tsüklodekstriinide ja tsüklodekstriini derivaatide uurimisele, arendustegevusele ja tootmisele. 1999. aastal asutatud Xi'an Deli Biochemical Industry Co., Ltd.-l on üle 20-aastane farmaatsia abiainete tootmise kogemus ning see teenindab ülemaailmseid farmaatsia-, veterinaar- ja keemiaturge.
Xi'an Deli Biochemical Industry Co., Ltd. keskendub farmatseutilise kvaliteediga tsüklodekstriinitoodetele, sealhulgas sulfobutüül-beetatsüklodekstriin 182410-00-0 ja hüdroksüpropüülbetadex. Kõik tooted on toodetud range kvaliteedijuhtimissüsteemi alusel ja vastavad rahvusvahelistele farmakopöa nõuetele, nagu USP ja EP.
Sulfobutüül-beeta-tsüklodekstriini 182410-00-0 puhul haldab Xi'an Deli Biochemical Industry Co., Ltd. stabiilseid kaubandusliku ulatusega tootmisliine. Ühe partii tootmisvõimsus ulatub kuni 2,5 tonnini, aastane tootmisvõimsus ületab 200 tonni. See tagab usaldusväärse tarne nii kliinilise arenduse kui ka kaubandusliku ravimitootmise jaoks.
Xi'an Deli Biochemical Industry Co., Ltd. pakub täielikku tehnilist ja regulatiivset tuge, sealhulgas COA, MSDS, stabiilsusandmed ja abi koostise valmistamisel. Hindamiseks on saadaval tasuta proovid ja ülemaailmsed saatmisteenused toetavad rahvusvahelisi kliente.

CASi nr: 182410-00-0
Standard: EP / USP
Molekulaarvalem: C42H70-nO35·(C4H8SO3Na)n
Spetsifikatsioon: 500 g/kott; 1 kg/kott; 10 kg/kott või trumm
Kategooria: Farmatseutiline abiaine
Säilitamine: suletud, kuivsäilitamine
Kõlblikkusaeg: 36 kuud
Sulfobutüüleetri beetatsüklodekstriini pulbri süstitav farmatseutiline abiaine
Betadex sulfobutüüleetri naatrium CAS NO 182410-00-0
Sulfobutüüleeter beetatsüklodekstriinnaatrium
Betadexi sulfobutüüleetri naatriumi süsteklass
Betadex sulfobutüüleetri naatrium SBECD süstitav ravimpreparaatide klass
Betadex sulfobutüüleetri naatrium CAS 182410-00-0