Betadex sulfobutüüleetri naatrium CAS 182410-00-0
  • Betadex sulfobutüüleetri naatrium CAS 182410-00-0 Betadex sulfobutüüleetri naatrium CAS 182410-00-0
  • Betadex sulfobutüüleetri naatrium CAS 182410-00-0 Betadex sulfobutüüleetri naatrium CAS 182410-00-0

Betadex sulfobutüüleetri naatrium CAS 182410-00-0

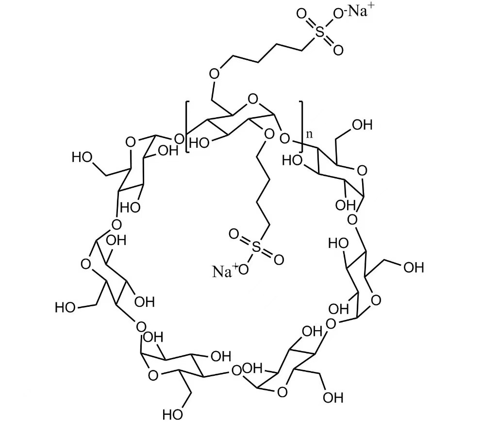
Betadex Sulfobutyl Ether Naatrium CAS 182410-00-0 on tsüklodekstriini derivaat ja Hiina DELI uut tüüpi farmatseutilised abiained.

Saada päring

Tootekirjeldus

Betadex Sulfobutyl Ether Naatrium CAS 182410-00-0 on Hiina DELI uut tüüpi anioonsed hästi lahustuvad tsüklodekstriini derivaadid. Betadex Sulfobutyl Ether Naatrium CAS NO 182410-00-0 on naatriumsool, mis tekib Betadexi alküülimisel 1,4-butaansulfoonhappe laktooniga leeliselistes tingimustes. See on anioon, vees hästi lahustuv Betadexi derivaat. Seda saab kasutada solubilisaatorina, märgava ainena, kelaativa ainena (kompleksmoodustajana) ja polüvalentse maskeeriva ainena.


Betadex Sulfobutyl Ether Naatrium CAS 182410-00-0 on kasutatud süste-, suukaudsetes, nina- ja silmaravimites. Sellel on eriline afiinsus ja kaasamine lämmastikuravimite suhtes. Suurendage ravimi stabiilsust, lahustuvust, ohutust (Kaasake ravimimolekulid, et moodustada mittekovalentne). Vähendab neerutoksilisust, hõlbustab ravimite hemolüüsi. Kontrollige ravimi vabanemise kiirust, katke halb lõhn. Meie ettevõte toodab Betadex sulfobutüüleetri naatriumi CAS NO 182410-00-0 ja hüdroksüpropüül-Βetadex CAS 128446-35-5, kõik võivad pakkuda tasuta proove


Betadex sulfobutüüleetri naatrium CAS NO 182410-00-0 standardid

[CASi nr]: 128410-00-0
[Molekulaarvalem]: C42H70- ei35•(C4H8NII3Na)n
[Spetsifikatsioon]: 500g/kott; 1kg/kott; 10kg/kott/trumm; või vastavalt teie soovile
[Kategooria]: farmatseutilised abiained
[Säilitamine]: hüljeste säilitamine.
[Kehtivusaeg]: 36 kuud



Kuumad sildid: Betadex Sulfobutüüleeter Naatrium CAS 182410-00-0, Tootjad, tarnijad, Hiina, tehas, lahtiselt, tasuta proov, valmistatud Hiinas, laos, hulgimüük, ost

Seotud kategooria

Saada päring

Palun esitage oma päring allolevas vormis. Vastame teile 24 tunni jooksul.
icon
X
Kasutame küpsiseid, et pakkuda teile paremat sirvimiskogemust, analüüsida saidi liiklust ja isikupärastada sisu. Seda saiti kasutades nõustute meie küpsiste kasutamisega. Privaatsuspoliitika
Keeldu Nõustu