CAS 182410-00-0 Sulfobutüüleeter-beetatsüklodekstriinnaatrium

CAS 182410-00-0 Sulfobutüüleeter-beetatsüklodekstriinnaatrium

CAS 182410-00-0 Sulfobutüüleeter-beetatsüklodekstriinnaatrium on tsüklodekstriini derivaat ja Hiina DELI uut tüüpi farmatseutilised abiained.

Saada päring

Tootekirjeldus

CAS 182410-00-0 Sulfobutüüleeter-beetatsüklodekstriinnaatrium

CAS 182410-00-0 Sulfobutüüleeter-beetatsüklodekstriinnaatrium

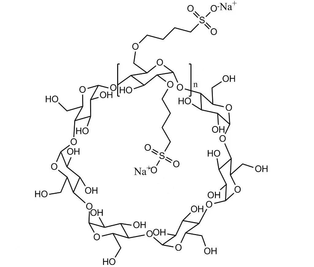
Sulfobutüüleetri beetatsüklodekstriinnaatrium (SBECD) on vees hästi lahustuv anioonne β-tsüklodekstriini derivaat, mis on välja töötatud farmatseutilise abiainena süstitavate ja parenteraalsete ravimite manustamissüsteemide jaoks. Mittekovalentse inklusioonkompleksi moodustamise kaudu aktiivsete farmatseutiliste koostisosadega (API-dega) parandab SBECD oluliselt vees halvasti lahustuvate ravimite lahustuvust, stabiilsust ja koostise ohutust.

Suurepärase biosobivuse, madala hemolüütilise aktiivsuse ja kontrollitud toksilisusega sulfobutüüleetri beetatsüklodekstriinnaatrium on muutunud laialdaselt aktsepteeritud abiaineks tänapäevastes ravimpreparaatides, eriti viirusevastastes, seenevastastes, onkoloogilistes ja kardiovaskulaarsetes ravides.

Toote põhiteave

Sulfobutüüleeter-beetatsüklodekstriinnaatrium on valge kuni valkja amorfse pulbrina ja on vees hästi lahustuv. Toodet tarnitakse süstitava kvaliteediga ja toodetakse vastavalt USP, EP ja asjakohastele ettevõtte standarditele, tagades sobivuse reguleeritud farmaatsiarakendustele.

Molekulaarvalem: C42H70-nO35· (C4H8NII3Na)n
Hinne:Süstimisaste
Kasutusala:Farmatseutilised preparaadid

Keemilised ja funktsionaalsed omadused

SBECD on beetadeksi anioonne derivaat, milles β-tsüklodekstriini struktuuri on lisatud sulfobutüüleetri rühmad. See keemiline modifikatsioon suurendab oluliselt vees lahustuvust ja võimaldab moodustada ravimimolekulidega stabiilseid, kuid pöörduvaid inklusioonkomplekse.

Funktsionaalselt toimib sulfobutüüleetri beetatsüklodekstriinnaatrium solubilisaatori, stabilisaatori ja ravimi vabanemise modulaatorina, parandades koostise jõudlust toimeainet keemiliselt muutmata.

Peamised eelised

Farmatseutilistes preparaatides suurendab SBECD oluliselt halvasti lahustuvate API-de vees lahustuvust ja parandab nii keemilist kui ka füüsikalist stabiilsust. Võrreldes tavaliste solubiliseerivate ainetega on sellel vähenenud neerutoksilisus, minimaalne hemolüütiline potentsiaal ja vähene süstekoha ärritus.

SBECD toetab ka püsivat biosaadavust, kontrollitud ravimite vabanemist ja vajaduse korral API-de ebameeldiva lõhna või maitse tõhusat maskeerimist.

Farmatseutilised rakendused

Sulfobutüüleetri beetatsüklodekstriinnaatriumi kasutatakse peamiselt parenteraalsetes ravimvormides, sealhulgas intravenoossete, intramuskulaarsete ja subkutaansete süstidena. See sobib ka oftalmoloogiliste lahuste, nasaalsete preparaatide ja spetsiaalsete ravimite manustamissüsteemide jaoks, mis nõuavad paremat lahustuvust ja stabiilsust.

Toodet kasutatakse laialdaselt viirusevastaste, seenevastaste, onkoloogiliste, kardiovaskulaarsete ja kesknärvisüsteemi ravimite koostistes.

Turustatud ravimite kogemus

SBECD-d on edukalt kasutatud mitmetes kaubanduslikult turustatavates süstitavates toodetes, mis näitab selle tõestatud ohutust ja toimivust. Tüüpilised rakendused hõlmavad remdesiviiri süstimist, vorikonasooli süstimist, posakonasooli süstimist, melfalaanvesinikkloriidi süstimist ja ziprasidoonmesülaadi süstimist.

Tüüpilised kvaliteedispetsifikatsioonid

Süstitav toode vastab rangetele kvaliteedikontrolli nõuetele. Analüüsi väärtusi kontrollitakse vahemikus 95,0% kuni 105,0% veevaba baasil, kusjuures keskmine asendusaste on tavaliselt vahemikus 6,2 kuni 6,9. Lisandid, beetadexi jääk ja anorgaanilised soolad on rangelt piiratud.

Bakterite endotoksiinide tasemed vastavad parenteraalse kasutamise nõuetele ja mikroobide piirnormid vastavad USP standarditele. Lahuse selgust ja lisandite profiile jälgitakse vastavalt farmakopöa meetoditele. Iga partii on varustatud täieliku analüüsisertifikaadiga (COA).

Ettevõtte tutvustus

Xi’an Deli Biochemical Industry Co., Ltd. on kõrgtehnoloogiline ettevõte, mis on spetsialiseerunud tsüklodekstriinide ja nende derivaatide uurimisele, arendusele, tootmisele ja müügile. 1999. aastal asutatud ettevõttel on enam kui 26-aastane kogemus farmaatsia abiainete tootmises.

Ettevõttel on kaasaegne tootmisüksus, mis asub Lintongi linnaosas Xi'anis, mis hõlmab ligikaudu 17,8 ühikut. Selle põhitoodete hulka kuuluvad DELI kaubamärk Hydroxypropyl Betadex ja Betadex Sulfobutyl Ether Nadium, mis mõlemad on registreeritud ja esitatud FDA-le.

Aastase tootmisvõimsusega 500 tonni hüdroksüpropüülbetadexi ja 200 tonni sulfobutüüleetri beetatsüklodekstriinnaatriumi pakub Xi'an Deli Biochemical usaldusväärset ja suuremahulist tarnimist farmaatsiatarbijatele kogu maailmas.

Kvaliteedi tagamine ja tootmisvõime

Xi’an Deli Biochemical tegutseb ISO 9001 sertifitseeritud kvaliteedijuhtimissüsteemi alusel ja on varustatud täiustatud analüütiliste instrumentidega, nagu HPLC, GC, ioonkromatograafia, kapillaarelektroforees ja FTIR. Ranget kvaliteedikontrolli rakendatakse alates toorainest kuni valmistoodeteni, tagades suurepärase partiidevahelise konsistentsi.

Pakendamine, ladustamine ja säilivusaeg

Toode on saadaval 500 g, 1 kg ja 10 kg pakendis. Sulfobutüüleetri beetatsüklodekstriinnaatriumi tuleb hoida jahedas, kuivas kohas tihedalt suletud mahutites ja kaitstuna niiskuse eest. Soovitatavatel säilitustingimustel on säilivusaeg kuni 36 kuud.

Miks valida Xi'an Deli Biochemical?

Xi'an Deli Biochemical on aastakümnete pikkuse tsüklodekstriini tootmise kogemuse, spetsiaalsete süstitavate tootmisliinide ja tõestatud ülemaailmse tarnevõimega kvaliteetse sulfobutüüleetri beetatsüklodekstriinnaatriumi usaldusväärne partner. Ettevõte pakub püsivat kvaliteeti, skaleeritavat tootmisvõimsust ja tugevat tehnilist tuge koostise arendamiseks.

Võtke meiega ühendust

Näidiste, tehniliste andmete või hinnapakkumiste jaoksCAS 182410-00-0 Sulfobutüüleeter-beetatsüklodekstriinnaatrium, võtke ühendust Xi’an Deli Biochemical Industry Co., Ltd.

Kuumad sildid: CAS 182410-00-0 Sulfobutüüleeter-beetatsüklodekstriinnaatrium, tootjad, tarnijad, Hiina, tehas, lahtiselt, tasuta proov, valmistatud Hiinas, laos, hulgimüük, ost

Seotud kategooria

Saada päring

Palun esitage oma päring allolevas vormis. Vastame teile 24 tunni jooksul.
icon
X
Kasutame küpsiseid, et pakkuda teile paremat sirvimiskogemust, analüüsida saidi liiklust ja isikupärastada sisu. Seda saiti kasutades nõustute meie küpsiste kasutamisega. Privaatsuspoliitika
Keeldu Nõustu