Hüdroksüpropüülbeetadeks (HPBCD) CAS 128446-35-5 | Farmatseutiline tsüklodekstriini abiaine
Keemiline nimetus: Hüdroksüpropüül-beetatsüklodekstriin
CASi number: 128446-35-5
Tootekategooria: Farmatseutiline abiaine
Põhifunktsioon: ravimi lahustuvuse parandamine ja inklusioonikompleksi moodustamine
Välimus: Valge või peaaegu valge amorfne pulber
Vees lahustuvus: Vees hästi lahustuv
Kasutusalad: ravimpreparaadid, süstitavad preparaadid, suukaudsed preparaadid ja paiksed ravimid
Kvaliteedistandard: USP / EP / ChP farmaatsia klass

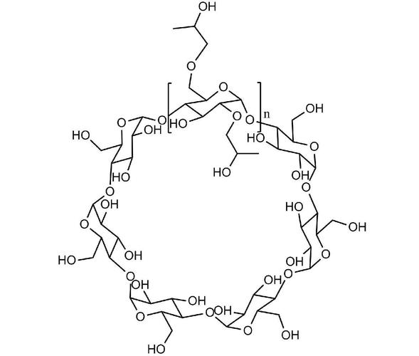
Hüdroksüpropüülbeetadeks (HPBCD) on modifitseeritud β-tsüklodekstriin, mida kasutatakse laialdaselt farmatseutilise abiainena parandada halvasti lahustuvate ravimite lahustuvust, stabiilsust ja biosaadavust. See moodustab kaasamise kompleksid farmatseutiliste toimeainetega, suurendades ravimite kohaletoimetamist suu kaudu ja parenteraalsed ravimvormid.
| Üksus | Spetsifikatsioon |
|---|---|
| Välimus | Valge või peaaegu valge amorfne pulber |
| Identifitseerimine | Vastab |
| Keskmine asendusaste | 0,4 – 1,5 |
| Veesisaldus | ≤ 10,0% |
| pH (1% lahus) | 5,0 – 7,5 |
| Jäägid süttimisel | ≤ 0,2% |
| Raskmetallid | ≤ 10 ppm |
| Propüleenglükool | ≤ 0,5% |
| Mikroobide piirang | Vastab USP nõuetele |
| Analüüs | Vastab USP-le |
Standardne:USP / EP / ChP (saadaval farmatseutiline klass)
Ülaltoodud spetsifikatsioonid vastavad farmaatsiastandarditele, nagu USP, EP ja ChP. Üksikasjalik analüüsisertifikaat (COA) on saadaval nõudmisel.

Hüdroksüpropüülbetadexi kasutatakse laialdaselt farmatseutilistes preparaatides, sealhulgas:


Hüdroksüpropüülbetadexi kasutatakse farmatseutilise abiainena lahustuvuse, stabiilsuse, ja halvasti lahustuvate ravimite biosaadavus.
Jah. Farmatseutilise kvaliteediga HPBCD-d kasutatakse laialdaselt süstitavates ravimpreparaatides ja see on lisatud mitmed heakskiidetud farmaatsiatooted.
HPBCD moodustab hüdrofoobsete ravimimolekulidega inklusioonkomplekse, võimaldades neil rohkem lahustuda kergesti vesikeskkonnas.
HPBCD on β-tsüklodekstriini modifitseeritud vorm hüdroksüpropüülrühmadega, mis oluliselt paranevad vees lahustuvus ja vähendada toksilisust.
Seda kasutatakse peamiselt ravimvormides, veterinaarravimites ja täiustatud ravimite manustamissüsteemides.
SestCOA, näidistaotlused, tehnilised dokumendid või hinnapakkumine, võtke meiega ühendust.
Toode:Hüdroksüpropüülbeetadeks (HPBCD)
CAS:128446-35-5
Vastame aja jooksul24 tundi.